lunes, 25 de marzo de 2013
miércoles, 20 de marzo de 2013
Cartilla N°3 Algoritmos Selección Multiple
1. Demostrar como se puede sacar el día de la semana sabiendo que se ha capturado un valor entero entre 1 y 7.
DFD
2. La empresa automotriz XYZ necesita realizar un programa para determinar en la compañía el valor a cobrar en la compañía por la compra de un vehículo, La compañía 4 vehículos. Por cada vehículo se debe capturar el modelo y su precio. Calcular el valor a pagar de cada usuario teniendo en cuanta la siguiente tabla
MODELO DESCUENTO
Mazda 15%
Century 10%
Cavalier 8%
Renault 7%
DFD
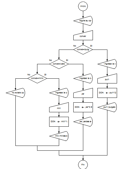
3. Realizar un algoritmo que permita convertir de pulgadas a milimetros, de yardas a metros y de millas a kilometros
1 pulgada es = 24.4 milimetros
1 yarda es = 0.9144 metros
1 milla es = 1.6093 kilometros
DFD
DFD
2. La empresa automotriz XYZ necesita realizar un programa para determinar en la compañía el valor a cobrar en la compañía por la compra de un vehículo, La compañía 4 vehículos. Por cada vehículo se debe capturar el modelo y su precio. Calcular el valor a pagar de cada usuario teniendo en cuanta la siguiente tabla
MODELO DESCUENTO
Mazda 15%
Century 10%
Cavalier 8%
Renault 7%
DFD
3. Realizar un algoritmo que permita convertir de pulgadas a milimetros, de yardas a metros y de millas a kilometros
1 pulgada es = 24.4 milimetros
1 yarda es = 0.9144 metros
1 milla es = 1.6093 kilometros
DFD
Cartilla N°3 Algoritmos Selección Anidada
1.Suponga que la Universidad Distrital decide cobrar una tarifa diferencial por concepto de carné estudiantil según la siguiente tabla;
Ingeniería Administración
1 y 5 Semestre 500 10000
6 y 10 Semestre 2000 1500
Desarrollar un algoritmo que permita leer el plan, el semestre del alumno y muestre el valor a pagar por concepto de carné.
DFD
2. La compañía XYZ ofrece una garantía de reparación para sus productos de impresoras a laser marca Hewtlett-Packard. Dependiendo de la gravedad detectada en el producto, este es transportado a una de sus plantas en el mundo para su arreglo, además , es importante saber cuantos días de demora la reparación, para que asi el cliente sepa cuánto tiempo va a estar sin servicio, Realizar un algoritmo que satisfaga la necesidad de entregarnos la información necesaria.
Gravedad Dias_reparación Planta
1 4 Colombia
2 9 Belgica
3 15 Alemania
DFD
3. Se necesita realizar un programa que determine el valor de y en función de x, teniendo en cuenta los siguientes intervalos.
y=x^2-4 si x<4
y=x^3+2x-31 si x>=4 y x <=10
y=3x^2-10.5x-3 si x>10
4. Una tienda verde computadores de todas las marcas. Dependiendo del valor de la compra se ofrecen unos descuentos con base al siguiente criterio;
<500000 No hay descuento
500000y1000000 5%
1000001y2000000 7%
>2000000 10%
Basandose en la anterior tabla, calcular el valor total a pagar
DFD
5. Determinar el deporte a practicar teniendo en cuenta la temperatura en grados Fahnrenheit.
El siguiente cuadro detalla el deporte a realizar y su temperatura correspondiente;
Deporte Temperatura
Natación >80
Tennis >=70y<=80
Golf >=40y<=69
Esquí >=10y<=40
Marchas <10
6. Determinar si un numero es mayor que 100
si es igual que 100
si es menor que 100
DFD
7. Deteminar cual es el mayor entre 3 números diferentes
DFD
Ingeniería Administración
1 y 5 Semestre 500 10000
6 y 10 Semestre 2000 1500
Desarrollar un algoritmo que permita leer el plan, el semestre del alumno y muestre el valor a pagar por concepto de carné.
DFD
2. La compañía XYZ ofrece una garantía de reparación para sus productos de impresoras a laser marca Hewtlett-Packard. Dependiendo de la gravedad detectada en el producto, este es transportado a una de sus plantas en el mundo para su arreglo, además , es importante saber cuantos días de demora la reparación, para que asi el cliente sepa cuánto tiempo va a estar sin servicio, Realizar un algoritmo que satisfaga la necesidad de entregarnos la información necesaria.
Gravedad Dias_reparación Planta
1 4 Colombia
2 9 Belgica
3 15 Alemania
DFD
3. Se necesita realizar un programa que determine el valor de y en función de x, teniendo en cuenta los siguientes intervalos.
y=x^2-4 si x<4
y=x^3+2x-31 si x>=4 y x <=10
y=3x^2-10.5x-3 si x>10
4. Una tienda verde computadores de todas las marcas. Dependiendo del valor de la compra se ofrecen unos descuentos con base al siguiente criterio;
<500000 No hay descuento
500000y1000000 5%
1000001y2000000 7%
>2000000 10%
Basandose en la anterior tabla, calcular el valor total a pagar
DFD
5. Determinar el deporte a practicar teniendo en cuenta la temperatura en grados Fahnrenheit.
El siguiente cuadro detalla el deporte a realizar y su temperatura correspondiente;
Deporte Temperatura
Natación >80
Tennis >=70y<=80
Golf >=40y<=69
Esquí >=10y<=40
Marchas <10
6. Determinar si un numero es mayor que 100
si es igual que 100
si es menor que 100
DFD
7. Deteminar cual es el mayor entre 3 números diferentes
DFD
Suscribirse a:
Comentarios (Atom)






























































